落下思想印记,闪耀思想光辉
经济管理学院师生联合党支部
“学习的印记”主题活动成果展示
为了深入推广“学习强国”APP,总结提升,表扬先进,加强习近平新时代中国特色社会主义思想的学习和宣传,1月20日,威尼斯官网经济管理学院师生联合党支部组织了“学习强国”学生党员和积极分子学习笔记评选晾晒活动。
疫情篇
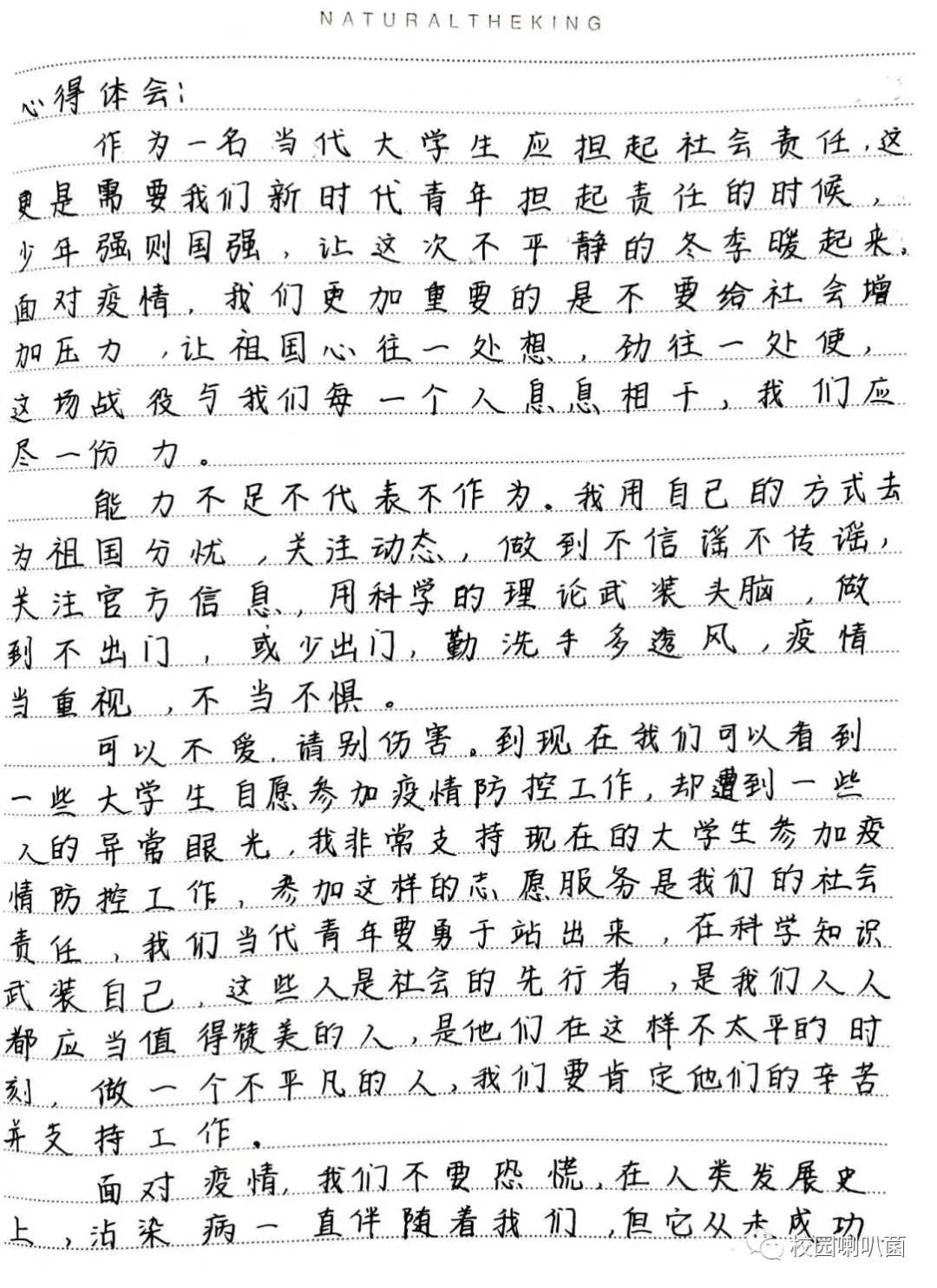
冷被暖感动,所以送它一场绵绵小雨;冬被春感动,所以留下漫山的花草;天空被大地感动,所以赠它满天星斗;现在全国人民正被一群逆行者感动,所以尊称他们为英雄。该院周妍、杨军霞通过”学习强国“,被这些英雄所感动,留下了他们的心得。

爱国篇
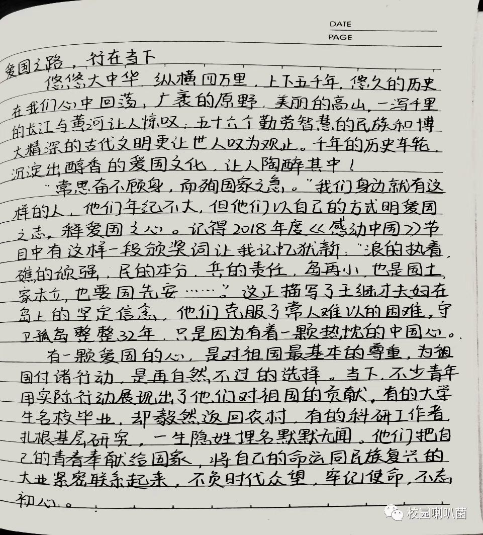
爱国主义是中华民族崛起的力量源泉,是中华民族伟大复兴的强大动力,是中华民族继往开来的精神支柱。古往今来,多少历史人物满怀爱国主义情怀,为我们留下光辉的著作,智慧的思想,不朽的功绩,激励着我们不断攀登更高的山峰。爱国主义精神已经深深烙印在每个中华儿女的心中。该院常丽君、张子璇分享了他们的学习心得。



爱党篇
中国共产党是中华民族继往开来的领路人。新中国成立后,在党的带领下,祖国日益强大。党给了我们一切,我们理当为党奋斗终生。作为意气风发的新一代,我们必须肩负起建设祖国的伟大使命,励精图治,奋发图强,将我们的祖国建设得更加繁荣昌盛,让中华民族拥有更加美好、更加辉煌的明天!


扶贫篇
全面小康是全局工作的重中之重,扶贫攻坚是全面小康的重中之重,精准扶贫是扶贫攻坚的重中之重。吴昱同学通过学习强国了解了我国扶贫工作开展以来的历程和成果,写下了他的感受。



青年篇
一腔热血勤珍重,洒去尤能化碧涛。回望那曾经的年代,一群群热血青年把沉寂的中国唤醒。他们用青春力量改写了历史!一腔爱国激情感动了华夏大地,让死神把黑暗召回,让正义重回人间,这是爱国青年的历史担当,是时代赋予他们的使命。王文静同学通过”学习强国“,分享了自己对使命与担当的感悟。


感悟篇
学习无处不在,打开手机不再是刷微博朋友圈,不再是逛淘宝唯品会。用“学习强国”学习,不自觉地养成了良好的学习和生活习惯,在丰富自己头脑的同时,也给家人和周围的同事朋友做出了好的榜样,真正发挥出了党员、积极分子的模范带头作用。经济管理学院的学生党员、积极分子通过不断学习,收获了不少的新知识。他们的体会、感动跃然于纸上。



